近日,功率半导体器件领域的顶级会议IEEE International Symposium on Power Semiconductor Devices and ICs (ISPSD)在德国不来梅市举行。本届ISPSD共收到论文投稿338篇,录用141篇,其中口头报告录用42篇。blh漫画 /集成电路高精尖创新中心共6篇高水平论文入选(包含3篇口头报告),向国际功率器件与功率集成电路领域的同行展示了blh漫画 最新的研究成果。这六篇论文内容涉及GaN功率器件热电子效应抑制技术、高性能GaN p-FET器件技术、GaN功率器件动态电阻测试平台、高栅极电压摆幅GaN功率器件、GaN功率器件短路能力提升技术、增强型GaN功率器件动态阈值漂移与误开通现象。论文详情如下:
1. GaN功率器件热电子效应抑制技术
目前,GaN功率器件在高压、大功率领域实现了优异的性能。然而,这会导致器件在工作过程中经历高功率应力,产生大量的热电子,这些热电子会轰击器件的表面和缓冲层,产生新的陷阱能级,从而引起器件的导通电阻退化。
针对上述问题,魏进/王茂俊团队提出了具有有源钝化层和背部虚拟体技术。通过有源钝化层和背部虚拟,可以有效地屏蔽热电子引起的表面层陷阱和缓冲层陷阱,从而实现对热电子效应的抑制作用。该工作以Suppression of Hot-Electron-Induced Dynamic RON Degradation in p-GaN Gate HEMT Using Active Passivation and Virtual Body为题,以口头报告形式展示,文章的第一作者是blh漫画 博士研究生杨俊杰,通讯作者是魏进研究员。

2. 高性能GaN p-FET器件
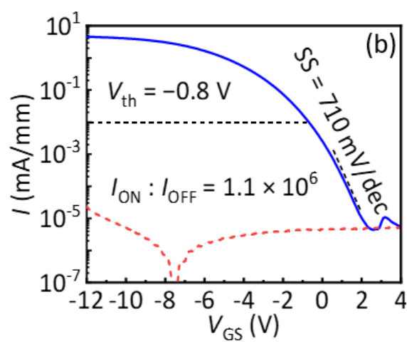
目前,GaN功率器件已经发展的较为成熟。为了充分发挥GaN的全部潜力,高效能的GaN互补逻辑电路的发展势在必行。然而,由于p型沟道层内受主电离率较低,增强型GaN p-FET具有较低的电流密度。这一问题严重限制了GaN互补逻辑电路的发展。
针对上述问题,魏进/王茂俊团队提出了一种新型电离增强技术,实现E-modeGaNp-FET电流密度的大幅度提升。该工作以Polarization-Assisted Acceptor Ionization in E-ModeGaN p-FET on 650-V E-mode p-GaN Gate HEMT(EPH) Platform为题,以口头报告形式展示,文章的第一作者是blh漫画 与北京工业大学联合培养硕士研究生李腾,通讯作者是魏进研究员和北京工业大学张蒙教授。


3. GaN功率器件动态电阻测试平台
动态导通电阻退化是GaN功率器件的一个显著特征。GaN器件经历关态耐高压及开关切换后会出现导通电阻增大现象,这会影响器件的动态稳定性及可靠性。目前,动态电阻测试平台功能较为单一,难以对GaN器件动态电阻性能进行全面评估。
针对上述问题,魏进/王茂俊团队提出了基于电容负载的多功能GaN功率器件动态电阻测试平台。该平台充分考虑了开关切换类型对动态电阻的影响,可用于片上和封装器件动态电阻的长时间退化研究。该工作以Versatile Dynamic On-Resistance Test Bench forGaN Power Transistors with Considerations for Soft and Hard Switching, Time-Resolved Test, Packaged and On-Wafer Devices为题,以口头报告形式展示,文章的第一作者是blh漫画 博士研究生劳云鸿,通讯作者是魏进研究员。


4. 增强型GaN功率器件动态阈值漂移与误开通现象
GaN功率器件由于其本身的材料特性的优势,在功率电子领域展现出巨大的潜力,正成为下一代功率半导体技术的领先选择。但是GaN功率器件存在阈值电压不稳定的问题,降低了其在实际电路应用中的可靠性。
针对上述问题,王茂俊/魏进团队深入研究了650 V 商用肖特基p-GaN HEMT 阈值电压负漂对器件误开启的影响,并揭示了该问题对温度的依赖性。研究证明在低温下器件误开启的风险会进一步上升。该工作以Analysis of False Turn-on of Schottky p-GaN HEMT in Bridge-leg Circuit over −55°C - 150°C Operating Temperature Range为题,发表于今年ISPSD,文章第一作者是blh漫画 软件与微电子学院硕士研究生范泽涛,通讯作者是王茂俊副教授和魏进研究员。


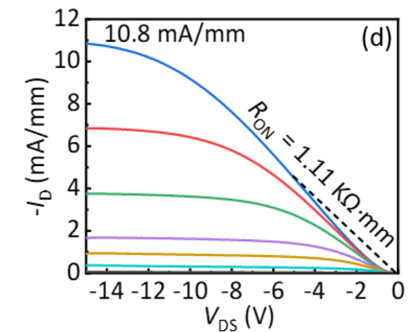
5. GaN功率器件的短路能力提升技术
由于具有出色的高频工作性能,氮化镓功率器件在消费类电子产品中已经得到了广泛的应用。电机驱动等工业级应用领域对功率器件的短路能力有很高的要求。但是,GaN功率器件的短路可靠性较差,这限制了其在工业级高功率领域的大规模应用。
针对上述问题,魏进/王茂俊团队提出了具有肖特基延伸金属的新型p-GaN栅极HEMT。在器件中紧邻源极的区域引入一个肖特基延伸区,所提出的新型器件具有更低的饱和电流密度,大幅度提高了器件的短路能力。该工作以Design and Development of p-GaN Gate HEMT with Schottky Source Extension for Improved Short Circuit Reliability为题,发表于今年ISPSD,文章的第一作者是blh漫画 博士研究生余晶晶,通讯作者是魏进研究员。

6.高栅极电压摆幅GaN功率器件技术
p-GaN栅极GaN功率器件是目前商业化的主要器件,然而该器件还存在动态阈值电压漂移、栅极驱动摆幅小以及动态电阻退化等问题,限制其进一步发展。
针对上述问题,魏进/王茂俊团队提出了一种带有背部虚拟体和p-GaN电势稳定器的MIP-HEMT技术,MIP栅极可以承受额外的栅极偏压,将器件的栅极电压摆幅提高至20.4V;背部虚拟体可以有效地屏蔽缓冲层陷阱,从而实现低的动态导通电阻;p-GaN电势稳定器可以快速地消除p-GaN中存储的电荷,从而实现稳定的阈值电压。该工作以Metal/Insulator/p-GaN Gate Virtual-Body HEMT for Large Gate Swing and Effective hole Injection为题,发表于今年ISPSD,文章的第一作者是blh漫画 博士研究生杨俊杰,通讯作者是魏进研究员和王茂俊副教授。

关于IEEE ISPSD
IEEE International Symposium on Power Semiconductor Devices and ICs (ISPSD)是功率半导体器件领域的顶级会议,以论文录用率低、作品创新性和实用性强著称,每年吸引全球范围内大量学术界、工业界研发人员的关注和参与。历史上关于功率器件的众多重大进展均在ISPSD大会首次展示。会议内容涉及高压功率器件、低压功率器件、功率集成技术、SiC功率器件、GaN功率器件等方面。IEEE ISPSD在欧洲、北美、日本、其他地区轮流举办,2024年ISPSD的举办地为德国不来梅市,2025年ISPSD将在日本熊本市举办。
论文链接:
[1] J. Yang, et al., “Suppression of Hot-Electron-Induced Dynamic RON Degradation in p-GaN Gate HEMT Using Active Passivation and Virtual Body”, Proc. ISPSD, 2024, p. 530.
[2] T.Li, et al., “Polarization-Assisted Acceptor Ionization in E-ModeGaN p-FET on 650-V E-mode p-GaN Gate HEMT(EPH) Platform”, Proc. ISPSD, 2024, p. 160.
[3] Y.Lao, et al., “Versatile Dynamic On-Resistance Test Bench for GaN Power Transistors with Considerations for Soft and Hard Switching, Time-Resolved Test, Packaged and On-Wafer Devices”, Proc. ISPSD, 2024, p. 534.
[4] J. Yang, et al., “Metal/Insulator/p-GaN Gate Virtual-Body HEMT for Large Gate Swing and Effective hole Injection”, Proc. ISPSD, 2024, p. 287.
[5] J.Yu, et al., “Design and Development of p-GaN Gate HEMT with Schottky Source Extension for Improved Short Circuit Reliability”, Proc. ISPSD, 2024, p. 263.
[6] Z.Fan, et al., “Analysis of False Turn-on of Schottky p-GaN HEMT in Bridge-leg Circuit over −55°C - 150°C Operating Temperature Range”, Proc. ISPSD, 2024, p. 275.